Hochwertig, zuverlässig und günstig

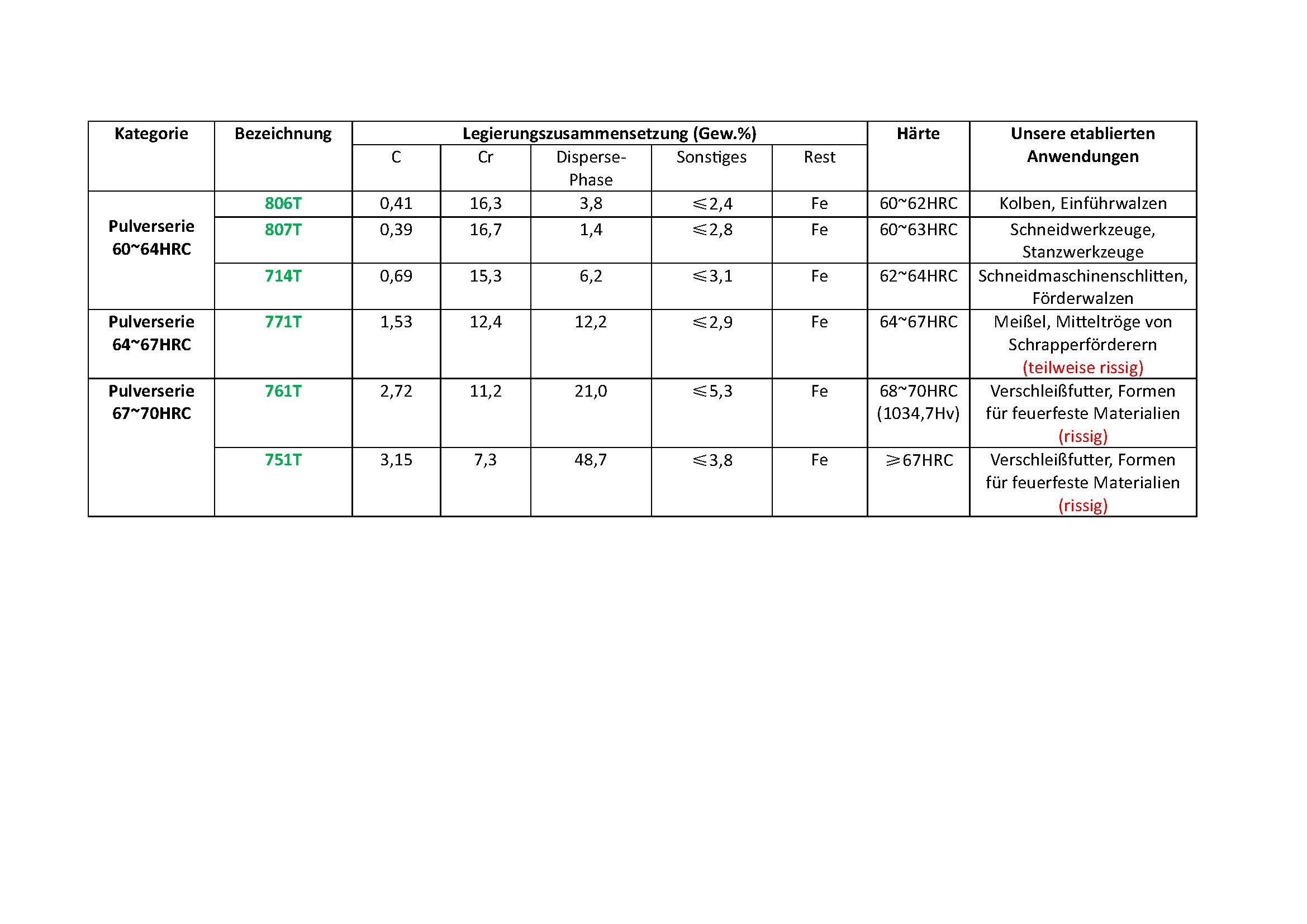
Leitfaden zur Pulverauswahl für hohe Härte und Verschleißfestigkeit

Pulverserie 60~64HRC

Pulverserie 64~67HRC

Pulverserie 67~70HRC